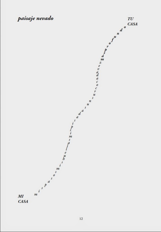
Categorías Adelantos Paisaje nevado – Jan De Jager Autor de la entrada Por Karina Macció Fecha de la entrada 02/07/2014 Jan De Jager, Relámpagos Vol. I.Próximo título de Viajera. Etiquetas Jan De Jager, Relámpagos, Viajera ← Planta vegetariana – Nicolás Di Candia → Sugiero mantener la boca cerrada – Virginia Janza